Της Χριστίνας Δημητρίου
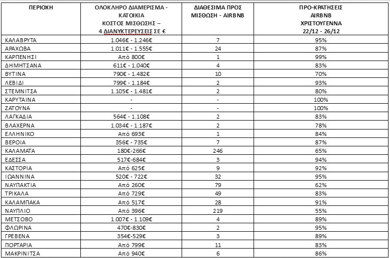
Ποσοστά προ-κρατήσεων για την περίοδο των εορτών στο σύνολο των δημοφιλών χειμερινών προορισμών άνω του 80%, στους 21 από τους 26 προορισμούς καταγράφεται στα στοιχεία που έχει συγκεντρώσει το Πανελλαδικό Δίκτυο E-Real Estates.
Ενώ σύμφωνα με τον πρόεδρο του Πανελλαδικού Δικτύου E-Real Estates, κ. Θεμιστοκλή Μπάκα, τις επόμενες ημέρες η κίνηση θα ενταθεί και τα ποσοστά προ-κρατήσεων θα αγγίξουν το 100% ιδιαίτερα στους ορεινούς προορισμούς – όπου ακόμη καταγράφεται διαθεσιμότητα.
Τα στοιχεία που έχουν συγκεντρωθεί αφορούν σε άφιξη την Κυριακή 22 Δεκεμβρίου και αναχώρηση την Πέμπτη 26 Δεκεμβρίου, για ολόκληρα διαμερίσματα ή/και κατοικίες εγγεγραμμένες σε πλατφόρμες βραχυχρόνιας μίσθωσης.
Σημειώνεται ότι τα υψηλά ποσοστά προ-κρατήσεων που καταγράφονται, αφορούν αποκλειστικά ακίνητα που διατίθενται και είναι εγγεγραμμένα σε πλατφόρμες βραχυχρόνιας μίσθωσης, δεν αφορούν ξενοδοχειακές μονάδες ή/και πανσιόν. Παράλληλα, τονίζεται ότι η δυναμικότητα, τα εγγεγραμμένα διαμερίσματα ή/και κατοικίες σε πολλούς χειμερινούς προορισμούς είναι περιορισμένη.

Στην Αράχωβα οι προ-κρατήσεις για τις ημέρες των Χριστουγέννων (22/12-25/12) αγγίζουν το 87%. Το συνολικό κόστος διαμονής για τέσσερις διανυκτερεύσεις τα Χριστούγεννα ξεκινά από 1.011€ για κατοικία σε απόσταση 300 μέτρων από κέντρο που μπορεί να φιλοξενήσει 4μελη οικογένεια ή/και 4μελη παρέα, έως και 1.555€ για κατοικία με τζακούζι και σάουνα. Υπάρχουν chalet που μπορούν να φιλοξενήσουν 9-10 άτομα με το κόστος σε πολλές περιπτώσεις να αγγίζει τις 3.000€.
Στο Μέτσοβο, η δυναμική στον κλάδο των βραχυχρόνιων μισθώσεων είναι μικρή και οι προ-κρατήσεις αγγίζουν το 89%. Το κόστος διαμονής για τέσσερις διανυκτερεύσεις τις ημέρες των Χριστουγέννων κυμαίνεται από 1.007€ και αφορά κατοικία 40τ.μ. σε απόσταση 200 μέτρων από το κέντρο. Ενώ. Κατοικία 60τμ σε απόσταση 300μέτρων από το κέντρο μισθώνεται προς 1.109€.
Στα Ιωάννινα οι προ-κρατήσεις αγγίζουν το 100% για τις ημέρες των Χριστουγέννων. Τα Ιωάννινα καταγράφουν δυναμική 594 (501 το 2023) εγγεγραμμένων αυτοτελών ακινήτων σε πλατφόρμες βραχυχρόνιας μίσθωσης. Σήμερα, είναι διαθέσιμα προς μίσθωση στην πλατφόρμα Airbnb 32 αυτοτελή κατοικίες. Το κόστος μίσθωσης για τέσσερις διανυκτερεύσεις κυμαίνεται από 520€ (κατοικία 50τμ σε απόσταση 0,8χιλ από το κέντρο) έως και 722€ (κατοικία 67τμ σε απόσταση 1,2χιλ από το κέντρο).
Στα Καλάβρυτα, οι προ-κρατήσεις αγγίζουν το 95% για τα Χριστούγεννα, με τις ζητούμενες τιμές μίσθωσης για ολόκληρο διαμέρισμα ή/και αυτοτελή κατοικία να κυμαίνονταν από 1.046€ για κατοικία 100τμ σε απόσταση 200 μέτρων από το κέντρο έως και 1.246€. Τα διαθέσιμα προς μίσθωση διαμερίσματα που μπορεί να αναζητήσει ο εν δυνάμει ταξιδιώτης ήταν κυρίως από 55τμ έως 75τμ. Διαμερίσματα που μπορούν να φιλοξενήσουν έως 6 άτομα, ανάλογα πάντα με την πολιτική του εκάστοτε ιδιοκτήτη-διαχειριστή ακινήτου
Έντονη κινητικότητα καταγράφεται και στους χειμερινούς προορισμούς του Νομού Αρκαδίας, με τις προ-κρατήσεις να αγγίζουν ακόμη και το 100%. Οι προ-κρατήσεις στη Δημητσάνα αγγίζουν το 83%, στη Βυτίνα το 70%, στη Στεμνίτσα το 80% και στα Λαγκάδια το 83%.
Οι «νέοι» προορισμοί των Χριστουγέννων όπως το Λεβίδι, αγγίζει το 93%, η Ζάτουνα το 100%, η Καρύταινα το 100% και η Βλαχέρνα το 78%.
Το κόστος διαμονής για τέσσερις διανυκτερεύσεις στους Αρκαδικούς προορισμούς κυμαίνεται από 564€ έως και 1.481€ για τις ημέρες των Χριστουγέννων. Οι ανώτερες τιμές, αφορούν κυρίως ολόκληρα αρχοντικά 75τμ -120τμ.
Οι προ-κρατήσεις για τις ημέρες των Χριστουγέννων στο Καρπενήσι έχουν αγγίξει το 99% με το κόστος για τέσσερις διανυκτερεύσεις να κυμαίνεται από 800€ για διαμέρισμα. Διαθεσιμότητα καταγράφεται στο όμορο χωρίο Γοριανάδες όπου το κόστος μίσθωσης chalet που μπορεί να φιλοξενήσει 6-8 άτομα κυμαίνεται στις 3.501€ συνολικά.
Στην Καλαμπάκα οι προ-κρατήσεις σήμερα αγγίζουν το 91%, με το κόστος να κυμαίνεται από 517€ για το τετραήμερο των Χριστουγέννων.
Υψηλά ποσοστό προ-κρατήσεων καταγράφονται και στα ορεινά της Μαγνησίας. Στη Μακρινίτσα, οι προ-κρατήσεις για τις ημέρες των Χριστουγέννων αγγίζουν το 86% με το κόστος διαμονής για τέσσερις διανυκτερεύσεις να κυμαίνεται από 940€ για κατοικία 150τμ. Στην Πορταριά οι προ-κρατήσεις για τις αγγίζουν το 83% με το κόστος διαμονής (4 διανυκτερεύσεις) να κυμαίνεται από 799€ για κατοικία κατάλληλη για τετραμελή οικογένεια ή/και παρέα.
Το καλό οδικό δίκτυο έχει ευνοήσει τη Μεσσηνιακή πρωτεύουσα με τις προ-κρατήσεις να αγγίζουν το 65%, με 246 διαθέσιμα προς μίσθωση αυτοτελή ακίνητα. Το κόστος μίσθωσης κατοικίας για τέσσερις διανυκτερεύσεις κυμαίνεται από 180€ έως και 266€ για κατοικία 55τμ – 75τμ σε απόσταση 1χιλ από το κέντρο της πόλης.
Το Ναύπλιο, προορισμός για όλες τις εποχές του έτους, καταγράφει ποσοστό προ-κρατήσεων της τάξεως του 55%, με 219 διαθέσιμα προς μίσθωση ακίνητα στην πλατφόρμα Airbnb. Η δυναμική στον κλάδο της βραχυχρόνιας μίσθωσης στο ευρύτερο κέντρο αριθμεί 450 (370 το 2023) ακίνητα στο σύνολο των πλατφορμών. Το κόστος μίσθωσης για το τετραήμερο κυμαίνεται από 396€ για κατοικία 80τμ σε απόσταση 1χιλ από το κέντρο.
Στα Τρίκαλα της Θεσσαλίας καταγράφονται προ-κρατήσεις της τάξεως του 83%, με το κόστος για τέσσερις διανυκτερεύσεις να διαμορφώνεται από 729€ για τετραμελή οικογένεια ή/και παρέα σε κατοικία 75τμ σε απόσταση 950μέτρων από το κέντρο.
Υψηλά ποσοστά προ-κρατήσεων καταγράφονται και στην Έδεσσα με 94%, στη Φλώρινα με 95%, στη Βέροια με 87% και το κόστος μίσθωσης για τέσσερις διανυκτερεύσεις να κυμαίνεται από 356€ έως 735€, καθώς και στα Γρεβενά με 89% και με κόστος τεσσάρων διανυκτερεύσεων να κυμαίνεται από 354€ έως 529€.
Η Καστοριά με το θεματικό πάρκο, τις συναυλίες και τα παραδοσιακά Ραγκουτσάρια, καταγράφει ποσοστά προ-κρατήσεων που αγγίζουν το 92%. Το κόστος μίσθωσης κατοικίας για τέσσερις διανυκτερεύσεις κυμαίνεται από 625€ για κατοικία 100τμ σε απόσταση 100μέτρων από την Λίμνη.
Σύμφωνα με τον κ. Μπάκα, όσο θα πλησιάζουμε στη πρώτη εβδομάδα του Δεκεμβρίου, οι προ-κρατήσεις θα αγγίξουν το 100%, ενώ οι τιμές θα καταγράψουν αυξητικές τάσεις όχι μόνο λόγω των ημέρων, αλλά, και του γεγονότος ότι διαθέσιμα θα έχουν απομείνει μόνο τα ακίνητα μεγαλύτερης επιφάνειας (άνω των 100-120τμ) που το κόστος διαμονής τους σε πολλές περιπτώσεις διαμορφώνεται άνω των 350€/διανυκτέρευση σε πολλούς χειμερινούς προορισμούς.
Χριστίνα Δημητρίου
Διαβάστε επίσης: «Φουλ» οι χειμερινοί προορισμοί τις ημέρες των Χριστουγέννων και της Πρωτοχρονιάς





Μ.Η.Τ. 242183